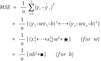
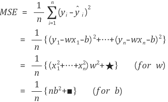
손실함수와 경사 하강법의 관계를 공부하며 헷갈리고 정확히 무슨말인지 이해가 안 가는 부분들이 있었는데 이들을 짚고 넘어가려 한다. 1. 왜 가중치와 절편을 업데이트하는데에 손실함수를 미분한 값을 사용하는가선형 회귀의 손실함수는 '제곱 오차(squared error)'로 예측값과 타깃값의 차이를 제곱한 것이다. 이때 제곱 오차가 최소가 되면 데이터의 경향을 가장 잘 표현하는 직선을 찾을 수 있는 것이다. 따라서 제곱 오차 함수의 최솟값을 알아내야 하는데 제곱 오차함수는 2차 함수이므로 기울기에 따라 함수의 값이 낮은 그래프의 최소에 가깝게 이동해야한다. 2차 함수인 이유는 아래와 같이 정리해보면 알 수 있다. x축을 가중치 $w$ 혹은 절편 $b$로 두고 y축을 손실함수로 두었을 때 손실함수의 최소로 이동..
                          