손실함수와 경사 하강법의 관계를 공부하며 헷갈리고 정확히 무슨말인지 이해가 안 가는 부분들이 있었는데 이들을 짚고 넘어가려 한다.
1. 왜 가중치와 절편을 업데이트하는데에 손실함수를 미분한 값을 사용하는가
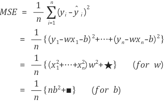
선형 회귀의 손실함수는 '제곱 오차(squared error)'로 예측값과 타깃값의 차이를 제곱한 것이다. 이때 제곱 오차가 최소가 되면 데이터의 경향을 가장 잘 표현하는 직선을 찾을 수 있는 것이다. 따라서 제곱 오차 함수의 최솟값을 알아내야 하는데 제곱 오차함수는 2차 함수이므로 기울기에 따라 함수의 값이 낮은 그래프의 최소에 가깝게 이동해야한다. 2차 함수인 이유는 아래와 같이 정리해보면 알 수 있다.

x축을 가중치 $w$ 혹은 절편 $b$로 두고 y축을 손실함수로 두었을 때 손실함수의 최소로 이동하려면 어느 방향으로 이동해야하는지를 알아야 하는데 이때 사용되는 값이 기울기이다. 기울기를 알면 어느 방향으로 움직여야 값이 증가 혹은 감소하는지를 알 수 있기 때문이다.

위의 이미지에 따라 손실함수의 최솟값에 다가가기 위해서는 $w$의 값이 점점 커져야 한다($b$의 경우도 마찬가지). w의 값이 커지는 과정을 일반화해서 수식으로 표현하기 위해서 손실함수를 각 가중치와 절편에 대하여 편미분을 해야하는 것이다.
$w$ 편미분 결과:
$$ \frac{\partial SE}{\partial w} = -2(y - \hat{y})x $$
손실함수에 상수를 곱하거나 나누어도 최종 모델의 가중치나 절편에 영향을 주지 않기 때문에 계산의 편의성을 위해서 아래와 같이 1/2를 없앤다.
$$ \frac{\partial SE}{\partial w} = -(y - \hat{y})x $$
이와 같이 우리는 가중치에 대한 제곱 오차의 변화율을 구한 것이고, 손실함수의 낮은 쪽으로 이동하기 위해서 $w$에서 변화율을 더하지 않고 뺀다. 이 부분에서 필자는 정확히 이해가 안 가는 느낌을 받았다.
2. 왜 가중치 업데이트를 할 때 w에서 가중치에 대한 제곱오차의 변화율을 더하지 않고 빼는가
식으로 풀어서 설명하면 아래와 같은 식이 우리의 최종 목표이다: w에 양수값을 더해야 w의 값이 커지는 업데이트를 할 수 있고 손실함수의 값이 작아질 수 있기 때문이다.
$$ w = w - \frac{\partial SE}{\partial w} = w + (y - \hat{y})x $$
$ -(y - \hat{y})x $는 결론적으로 음수이기 때문에 $w$에서 더하지 않고 빼서 양수값을 더할 수 있게 만드는 것이다. 이 값이 음수인 이유는 일단 예측값이 타깃값이 못 미치는 상황에서 가중치와 절편의 값을 높이며 최적값을 찾아가는 과정이라고 가정했기 때문에 $ y - \hat{y} $와 $x$ 값은 각각 양수이고 앞에 (-) 부호가 붙어있기 때문에 $ -(y - \hat{y})x $은 음수이다.
결론적으로 기울기값이 아래 이미지와 같이 w의 값이 커짐에 따라 편미분을 통해 구한 변화율의 값은 작아지고 이는 접선의 경사(기울기)를 뜻하므로 "경사하강법"이라는 이름이 붙은 것이다.

혹시 제가 잘못 이해한 부분이 있다면 편하게 댓글 남겨주세요 :) 감사합니다.
Nothing good ever comes from worrying or sitting there feeling sorry for yourself. Keep positive, keep pushing on and things will turn good.
- Conor Mcgregor -
'캐글' 카테고리의 다른 글
| [Kaggle Study] 2. Scale of Features (1) | 2024.10.29 | 
|---|---|
| [Kaggle Study] #1 Titanic - Machine Learning from Disaster (2) | 2024.10.26 | 
| [Kaggle Study] 1. Loss Function 손실 함수 & Gradient Descent 경사 하강법 (6) | 2024.10.25 | 
| ML/DL(2) - 오차 역전파(backpropagation) (0) | 2023.07.08 | 
| ML/DL(1) - 로지스틱 회귀의 활성화 함수로 비선형 함수를 사용하는 이유 (0) | 2023.07.08 |